北京诺博莱德科技有限公司

4

手机商铺

qrcode
商家活跃:
产品热度:
  • NaN
  • 0.5
  • 0.5
  • 2.5
  • 2.5

北京诺博莱德科技有限公司

入驻年限:4

  • 联系人:

    尹经理

  • 所在地区:

    北京

  • 业务范围:

    试剂、耗材

  • 经营模式:

    经销商 生产厂商

在线沟通

技术资料/正文

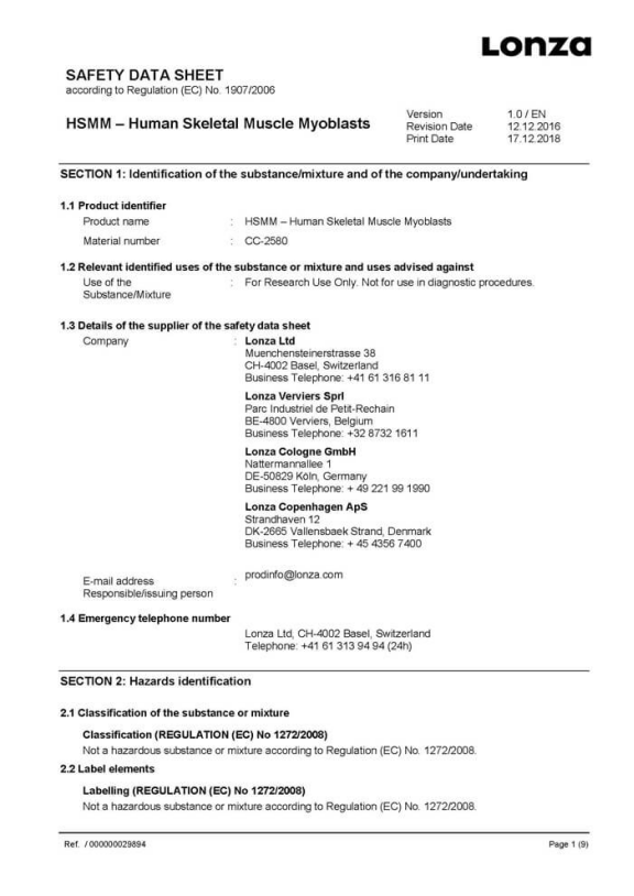
LONZA人骨骼肌成肌细胞 人原代细胞

15 人阅读发布时间:2026-01-09 11:03

LONZA人骨骼肌成肌细胞

产品名称:正常人骨骼肌成肌细胞
英文名称:HSMM – Human Skeletal Muscle Myoblasts
货号:CC-2580
货期:1个月

Cryopreserved ampule of Human Skeletal Muscle Myoblasts containing ≥ 500,000 cells 
Product Overview

CloneticsTM Human Skeletal Muscle Myoblasts (HSMM) are isolated from normal donors. HSMMs are isolated from the upper arm or leg muscle tissue and are sold in second passage. HSMMs can be differentiated to form myotubes in culture. 

CloneticsTM HSMMs are guaranteed through 10 population doublings and to differentiate to form multinucleated myotubes in culture. All cell types test negative for mycoplasma, bacteria, yeast, and fungi. HIV-1, hepatitis B and hepatitis C are not detected for all donors and/or cell lots. A Certificate of Analysi (CoA) is provided for each cell lot purchased.

产品名称:II型糖尿病人骨骼肌成肌细胞
英文名称:D-HSMM – Diseased Human Skeletal Muscle Myoblasts – Diabetes Type II
货号:CC-2901
货期:1个月

D-HSMM, Skeletal Muscle Myoblasts, Diabetes T2
Product Overview
CloneticsTM Diabetic Type I and Type II Human Skeletal Muscle Myoblasts (HSMM) are isolated from donors diagnosed with either Diabetes Type I or Diabetes Type II. Additional donor information is available by contacting Scientific Support. Diseased cells are tested in the same SkGMTM-2 Skeletal Muscle Growth Media as the normal cells allowing for easy comparisons between diseased and normal tissue. Both are sold in second passage.

CloneticsTM Diabetic Donor HSMMs are tested are guarenteed to differentiate to form multinucleated myotubes in culture which stain positive for desmin. All cells test negative for mycoplasma, bacteria, yeast, and fungi. HIV-1, hepatitis B and hepatitis C are not detected for all donors and/or cell lots. A Certificate of Analysi is provided for each cell lot purchased.

LONZA人骨骼肌成肌细胞说明:

技术资料图片1 

技术资料图片2 

技术资料图片3 

技术资料图片4 

技术资料图片5 

技术资料图片6 

技术资料图片7 

技术资料图片8 

技术资料图片9 

技术资料图片10 

技术资料图片11 

技术资料图片12 

技术资料图片13 

技术资料图片14 

技术资料图片15 

技术资料图片16 

技术资料图片17 

技术资料图片18 

资料格式:

LONZA人骨骼肌成肌细胞 人原代细胞.docx

查看详细文档

上一篇

LONZA人视网膜色素上皮细胞 人原代细胞

下一篇

LONZA人肾近端小管上皮细胞 人原代细胞

我的询价